Lista Habilitados ESFM

PROCESO DE ADMISIÓN DE POSTULANTES A LAS ESCUELAS SUPERIORES DE FORMACIÓN DE MAESTRAS Y MAESTROS Y UNIDADES ACADÉMICAS GESTIÓN 2026
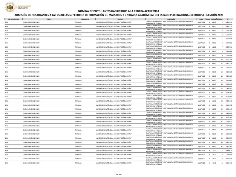
LISTA DE HABILITADOS A LA PRUEBA ESCRITA 2026

Postulantes habilitados a la prueba escrita MODALIDAD A
-
Muy bueno
-
Quiero más conocimiento sobre este materia
-
Quiero estudiar matematicas
★★★★★
-
-
-
Quisiera estudiar magisterio nivel inicial
-
Si quisiera estudiar magisterio nivel inicial
-
-
Potosí
-
Kiero saver si estoy abilitada para mí otro examen
-
Me encantaria poder estudiar esa carrera
-
Me encantaría poder ser una maestra en el área de cosmovisión filosofía.. ya que me encanta hablar a los adolescentes ya que también eh aprendido y tengo muchas experiencias de la vida.. me encanta compartir con los estudiantes.
-
Quiero saber si estoy habilitada para el examen
-
Quisiera más información sobre los inscritos a la ESFM del alto
-
Solo quisiera un poco más de información
-
Quiero más conocimiento sobre este materia
-
En que lugar se dará la prueba para direcciones de unidades educativas?
-
Que requisitos necesito para ir a dar mi examen :')
-
Muy buena
-
Si aprobe o nel
-
quisiera saber si estoy habilitada para el examen 2025, la hoja que descargue me muestra 2024, porfavor me ayudan
★★★★★
-
Bueno.
★★★★★
-
Magisterio de Educación Física y Deporte
★★★★★
Deja una respuesta

Más Articulos Relacionados ⤵